主讲老师:
XXX
项目投资决策
定义
01
.
常用方法
02
.
目录
定义
01
投资项目决策是由有关部门、单位或个人等投资主体在调查、分析、论证的基础上,对个别投资项目的根本性问题
作岀的判断和决定。进行投资项目决策常用的方法有净现值法
(NPV)
、内部收益率法
(IRR)
等一系列方法。
定义
常用方法
02
常用方法
收益率是指投资的回报率,又
称投资回报率或投资报酬率,是用
来衡量每单位投资创造多少净利润
的指标。对公司而言,收益率指净
利润占使用的平均资本的百分比。
计算公式为:
资产收益率
=
净利润
/
平均资产
总额
x100%
1
、收益率
常用方法
在实际工作中,由于工作角度和出发点不同,收
益率可以有以下一些类型。
1
、实际收益率。实际收益率表示已经实现或者确
定可以实现的资产收益率,表述为已实现或确定可以
实现的利息
(
股息
)
收益率与资本利得收益率之和。当
然,当存在通货膨胀时,还应当扣除通货膨胀率的影
响,才是真实的收益率。
2
、预期收益率。
•
单项资产的预期收益率。预期收益率也称为期
望收益率,是指在不确定的条件下,预测的某资产
未来可能实现的收益率。
•
证券资产组合的预期收益率。证券资产组合的
预期收益率就是组成证券资产组合的各种资产收益
率的加权平均数,其权数为各种资产在组合中的价
值比例。
1
、收益率
常用方法
在实际工作中,由于工作角度和出发点不同,收
益率可以有以下一些类型。
3
、必要收益率。必要收益率也称为最低必要报酬
率或最低要求的收益率,表示投资者对某资产合理要
求的最低收益率。必要收益率由两部分构成:无风险
收益率和风险收益率。
•
无风险收益率也称无风险利率,它是指无风险
资产的收益率
,
它的大小由纯粹利率
(
资金的时间价
值
)
和通货膨胀补贴两部分组成。无风险资产一般满
足两个条件:一是不存在违约风险;二是不存在再
投资收益率的不确定性。
•
风险收益率是指某资产持有者因承担该资产的
风险而要求的超过无风险利率的额外收益〉风险收
益率衡量了投资者将资金从无风险资产转移到风险
资产而要求得到的
“
额外补偿
”
,它的大小取决于
以下两个因素:一是风险的大小;二是投资者对风
险的偏好。
1
、收益率
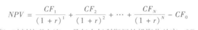
净现值
NPV
指标是反映项目投资获利能力的指标,是一项投资所产生的未来现金流的折现值与项目投资
成本之间的差值。
其公式为:
CF
t
是预期
t
时刻的现金流,
r
是每个复利期间的投资收益率,
CF
0
是期初投资额
常用方法
2
、净现值
常用方法
投资的内部收益率
IRR
是指能使投
资净现值为零的折现率。
3
、内部收益率
内部收益率可以看作是项目的预测收益率,它的评估需要有一比较基准。通常决策方会先设定一个基本的内部收益率,再针对不同性
质的投资项目订立不同的风险调整数,两者相加后成为投资回报率的门槛,当投资项目的内部收益率大于回报率门槛时,表示可以接受该
投资项目。当面对多项投资项目进行选择时,则先以回报率门槛筛选合格的投资项目,再按照内部收益率的大小,决定优先级。
常用方法
3
、内部收益率
如果投资项目的现金流量为传统型,即在投资有效期内只改
变一次符号,即先有初始投资现金流出,之后都是收益的现金流
入,则
NPV
是折现率的单调减函数,即随着折现率的增大,
NPV
单
调减少。
NPV
与
IRR
在互斥投资方案的评价中产生矛盾的根本原因是这两个指标
隐含的再投资利率不同。
NPV
假设投资项目在第
I
期流入的现金以资本成本或
投资者要求的收益率进行再投资;
IRR
假设再投资利率等于项目本身的
IRR
对于两个互斥的项目,如果
NPV
方法和
IRR
方法得到的结果相反,则通
常选取
NPV
方法,即总是选择
NPV
较大的项目
常用方法
净现值和内部收益率的比较
持有期收益率
HPY
。持有期收益率是忽略货币时间价值的、简单的计算收益率的方法。
计算公式为:持有其收益率
=
(期末资产价值
-
期初投资额
+
期间收入)
/
期初投资额
常用方法
4
、持有期收益率
常用方法
时间加权收益率是指在每单位时
间期间计算其金额加权收益率后,计
算整个时
间
期间收益率的几何平均数
。它是一种类似于几何平均的收益率
,考虑了资金的时间价值,运用了复
利思想的收益率
。
其计算公式为
:
5
、时间加权收益率
货币加权收益率就是内部收益率。它受到投资项目资金流入和流出的影
响。
货币加权收益率表明所有投入在整个投资期内产生的平均收益率,而时
间加权收益率表明单位投入在整个投资期内所产生的收益率。货币加权收益率
使期初投入加期间现金流与期末价值相等,而时间加权收益率消除了现金流的
影响,只测定评价期内始终存在的那部分资金产生的收益,可作为纯粹评价基
金管理人资产管理能力的标准,因此大多数欧美资产管理评价机构都采用时间
加权收益率作为衡量的指示。
常用方法
6
、货币加权收益率
感谢支持