概率的分布
课程目录
2. 概率的分布
      2.1 概率密度和累积分布
      2.2 二项分布
      2.3 正态分布
随机变量根据其取值特点分为离散型随机
变量和连续型随机变量。
如果随机变量X只可能取有限个或者是可
数无穷尽的值X=x1,x2,x3,则称X为离散型随
机变量。
概率密度和累积分布
1、离散型随机变量
&pky250_sjzg_VCG211283387354&2&src_toppic_inpsrchzd1&
如果随机变量X由全部实数或者由一部分
区间组成,X={x|a≤x≤b(-∞
a<b<+∞)则称X为连续型随机变量。连续
随机变量的值是不可数及无穷尽的。
概率密度和累积分布
2、连续型随机变量
C:/Users/dysoft/AppData/Local/Temp/kaimatting/20210625154206/output_aiMatting_20210625154215.pngoutput_aiMatting_20210625154215
&pky120_sjzg_VCG2108662ec3d&2&src_toppic_inpsrchzd1&
在数学中,连续型随机变量的概率密度函
数是一个描述这个随机变量在某个确定的取值
点附近的可能性的函数。当概率密度函数存在
的时候,累积分布函数是随机变量的取值落在
某个区域之内的概率,是概率密度函数的积分
,一般以大写“PDF”标记。
如果概率密度函数fx(x)在一点x上连续
,那么累积分布函数可导,并且它的导数
Fx’(x)=fx(x)。
四、概率密度和累积分布
2、连续型随机变量
&pky180_sjzg_VCG41494328681&2&src_toppic_inpsrchzd1&
课程目录
2. 概率的分布
      2.1 概率密度和累积分布
      2.2 二项分布
      2.3 正态分布
1、定义
二项分布又叫贝努里分布,是一种具有广泛用
途的离散型随机变量的概率分布。
二项分布是指统计变量中只有性质不同的两项
群体的概率分布。所谓两项群体,是按两种不同性
质划分的统计变量,即各个变量都可归为两个不同
性质中的一个,两个观测值是对立的
二项分布
&pky250_sjzg_VCG41N531316319&2&src_toppic_inpsrchzd1&
2、计算
考虑只有两种可能结果的随机试验,当成功的
概率是恒定的,且各次试验相互独立,这种试验在
统计学上称为伯努利试验。二项分布即重复n次的
伯努利试验。
如果事件发生的概率是P,则不发生的概率
q=1-pn次独立重复试验中发生k次的概率是
二项分布
&pky200_sjzg_VCG41N663390604&2&src_toppic_inpsrchzd1&
课程目录
2. 概率的分布
      2.1 概率密度和累积分布
      2.2 二项分布
      2.3 正态分布
&pky250_sjzg_VCG41N942511604&2&src_toppic_inpsrchzd1&
1、定义
正态分布是一个在数学、物理、工程及金融等
领域都非常重要的概率分布。正态分布在自然界中
随处可见,比如说人的身高和智力都服从正态分布。
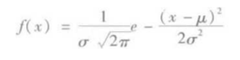
若随机变量X服从一个位置参数为μ、标准差
σ的概率分布,记为
X~Nμσ2
则其概率密度函数为
正态分布
正态分布有一个被称为经验法
“68-95-99.7法则,即约
68.3%的数值分布在距离平均值有1
标准差之内的范围,约95.4%的数值
分布在距离平均值有2个标准差之内的
范围,以及约99.7%的数值分布在距
离平均值有3个标准差之内的范围。因
此也称正态分布的均值化是位置参
,它决定了分布的中心位置,标
准差。是尺度参数,它决定了分
布的幅度。
根据经验法则,在给出正态分布
均值和标准差的条件下,可以快速作
出估计
2、经验法则
正态分布
正态分布有一个非常重要的性质:
在特定条件下,大量统计独立的随机变
量的平均值的分布趋于正态分布,这
就是中心极限定理。
中心极限定理的重要意义在于,
根据这一定理的结论,其他概率分布
可以用正态分布作为近似。
3正态分布与其他分布之间的关系
正态分布
&pky270_sjzg_VCG41N492694352&2&src_toppic_inpsrchzd1&
参数为n和P的二项分布,在n相当大而且p接近
0.5时近似于正态分布。近似正态分布平均数为
μ=np,且方差为σ2=np(1-p)。
例如,样本数为n=48,p=0.25的二项分布,趋
近于均值为12,标准差为3的正态分布。
3正态分布与其他分布之间的关系
正态分布